Oxidationsstabilität von Hopfenprodukten
Mess- und Prüfgeräte, Sensoren
Das Verhältnis von Bitterstoffen und Hopfenaroma ist maßgeblich für den einzigartigen und gleichbleibenden Geschmack jeder Biersorte verantwortlich. Hopfenaroma ist jedoch anfällig für Oxidation. Im Gegensatz zur zeitaufwendigen Probenvorbereitung und -messung mittels fotometrischer Analyse lassen sich die Oxidationsstabilität und die Oxidationsgeschwindigkeit von Hopfenprodukten schnell und komfortabel mit einem Oxidationsstabilitätsprüfer von Anton Paar bestimmen.

Bild: Anton Paar.
Die Oxidationsstabilität ist in vielen Bereichen der Lebensmittelindustrie ein wesentliches Qualitätskriterium und oft eine der wichtigsten Produkteigenschaften. Sie beeinflusst die Stabilität von Produkten bei längerer Lagerung und ist ausschlaggebend für die Haltbarkeit. Abbauvorgänge, die durch Oxidation verursacht werden, können die Eigenschaften von Produkten negativ beeinflussen sowie deren Qualität und Leistung beeinträchtigen.
Das Messgerät »RapidOxy 100« bietet ein besonderes Messprinzip nach ASTM D8206. Die Oxidation einer Probe wird durch erhöhte Temperatur und Sauerstoffdruck beschleunigt.

Im Vergleich zu anderen beschleunigten Alterungsmethoden liefert das Messgerät deutlich schnellere Ergebnisse (Bild: Anton Paar).
Die Sauerstoffaufnahme wird durch die genaue Messung des Drucks in der Probenkammer während des gesamten beschleunigten Alterungsprozesses aufgezeichnet. Je höher der Druckabfall bei einer Messung in einer bestimmten Zeit ist, desto oxidationsanfälliger ist die Probe. Kennt man das Oxidationsverhalten, kann man die Proben entsprechend behandeln oder die Haltbarkeit anpassen. Es besteht die Möglichkeit, sowohl die Verarbeitung, als auch die Behandlung, Verpackung und Lagerung bezüglich ihres Einflusses auf die Haltbarkeit zu untersuchen.
Die Probe wird entweder direkt in die Probenkammer gegeben oder in ein wiederverwendbares Glasschälchen eingewogen. Die Probenmenge beträgt nur fünf Milliliter bzw. vier Gramm. Jegliche Probenvorbereitung entfällt. Mit einem Temperaturbereich von bis zu 180 Grad Celsius ermöglicht das Messgerät sehr kurze Testzeiten.
Nach dem Test wird die Testkammer schnell und einfach nur mit einem weichen Papiertuch und Ethanol gereinigt. Abgesehen von der Probe fällt kein Abfall an. Dank der Peltier-Rückkühlung steht das Messgerät sofort für die nächsten Tests bereit.
Die Auswertung erfolgt bei Nutzung der zugehörigen PC-Software »Oxylogger 100« automatisch. Die relevanten Daten inklusive der Druckkurve sind während der Messung auch direkt am Display einsehbar.

Druckkurven, 4 g, 80 °C, pmax-10 % (Bild: Anton Paar).
Stabilität von Hopfenprodukten
Neben Wasser, Zellulose und verschiedenen Proteinen enthält Hopfen Alpha- und Betasäuren sowie ätherische Öle. Bei der Oxidation von Hopfen führt die Umwandlung von Alpha- und Betasäuren zu Humulonen und damit zu einer Veränderung der Bitterkeit des daraus gebrauten Bieres. Oxidation beeinflusst aber nicht nur die Bitterkeit, sondern auch das Hopfenaroma selbst, für das die anderen Hopfenbestandteile verantwortlich sind. Die Oxidation der ätherischen Öle führt zu einer Veränderung des Hopfenaromas und damit des Biergeschmacks.
Die Frische des Hopfens hängt vom Erntezeitpunkt und den Lagerbedingungen hinsichtlich Temperatur, Sauerstoff, Licht und Dauer ab. Um den Hopfen vor der Umwandlung der Säuren zu schützen, wird er üblicherweise so schnell wie möglich zu Pellets verarbeitet und anschließend kühl oder sogar gefroren und sauerstofffrei gelagert. Daher ist die Qualitätskontrolle des Rohstoffs unmittelbar nach der Ernte und der weiterverarbeiteten Materialien wie Hopfenpellets oder Hopfenextrakte unerlässlich, um die gleichbleibende Qualität des fertigen Bieres zu gewährleisten.
HSI-Berechnung und Messung
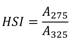
Der HSI (Hop Storage Index) ist der Indikator für die Frische und gibt das Verhältnis zwischen oxidierten und nicht oxidierten Hopfensäuren an. Mit zunehmendem Alter des Hopfens steigt der Wert. Je niedriger der HSI, desto besser die Qualität des Hopfenprodukts. Der Wert variiert zwischen verschiedenen Hopfensorten und hängt von Faktoren wie Erntejahr, Trocknungsbedingungen und weiteren Faktoren ab.

Berechnung des HSI
Die Bestimmung erfolgt mittels fotometrischer Analyse. Hierfür werden die Hopfenessenzen extrahiert, gefiltert und verdünnt. Anschließend wird die Absorption der Lösung bei 325 und 275 Nanometern gemessen, der maximalen Absorption für Hopfensäuren bzw. der maximalen Absorption für oxidierte Hopfensäuren.
Die Messung erfordert keine Probenvorbereitung. Vier Gramm Probe kann direkt in eine Glasschale eingewogen und in die Prüfkammer gestellt werden. Der Oxidationsstabilitätsprüfer »RapidOxy 100« beschleunigt dabei den Oxidationsprozess künstlich durch erhöhte Werte für Temperatur und Sauerstoffdruck. Das Gerät misst die Induktionszeit in Minuten. Dies ist die Zeit zwischen dem Beginn des Heizvorgangs des Probengefäßes und dem Erreichen des vordefinierten Druckabfalls. Nach der Messung kann die Frische des Hopfens anhand der Induktionszeit beurteilt werden.
![Druckabfall [%] von Hopfenaromen nach 20 h (Bild: Anton Paar).](https://lebensmittel.kuhn-fachmedien.de/wp-content/uploads/sites/2/2025/08/gl25_antonpaar5.jpg)
Druckabfall [%] von Hopfenaromen nach 20 h (Bild: Anton Paar).
Beispielhafte Proben
Für diesen Anwendungsbericht wurden klassische Hopfenprodukte (Pellets und Extrakte) sowie Aromaprodukte gemessen, Probenmenge jeweils vier Gramm. Für Hopfenpellets und Hopfenextrakte betrug die Prüftemperatur 80 Grad Celsius, der Fülldruck 700 Kilopascal und das Abbruchkriterium Druckabfall pmax minus 10 Prozent. Die Einstellungen für Hopfenaromen waren eine Prüftemperatur von 60 Grad Celsius, ein Fülldruck von 700 Kilopascal und das Abbruchkriterium 20 Stunden Prüfdauer.
Bei Pellets und Extrakten zeigte die Druckkurve einen guten Verlauf. Ebenso zeigten die Messungen von Hopfenpellets und Hopfenextrakt wiederholbare Werte in der Induktionszeit. Somit können die klassischen Hopfenprodukte zuverlässig gemessen werden. Die Induktionszeiten der Hopfenpellets betragen hier 34,2 und 35,5 Minuten, die Induktionszeiten von Hopfenextrakt 47,4 und 47,6 Minuten.
Die größte Herausforderung bei Hopfenaromen im Hinblick auf die Festlegung der optimalen Testparameter besteht darin, dass die tatsächliche Konzentration der verschiedenen Hopfenverbindungen nicht bekannt ist. Dies war an den Proben zu erkennen. Aroma 1 wies einen so geringen Sauerstoffverbrauch auf, dass das Stoppkriterium von 10 Prozent Druckabfall keinen Sinn ergeben hätte. Aroma 2 zeigte jedoch einen schnelleren Sauerstoffverbrauch im Vergleich zu Aroma 1. Um beide Proben mit den gleichen Testparametern messen zu können, war eine akzeptable Methode für beide Geschmacksrichtungen die Beendigung der Messung nach einer vordefinierten Testdauer von 20 Stunden. Nach dieser Zeit wurde der Druckabfall der Proben miteinander verglichen. Aroma 1 und 2 enthielten nur eine geringe Konzentration von Hopfenöl, was die geringe Oxidationsrate bestätigte. Die Aromen 3 und 4 bestanden aus einer Mischung von Alpha- und Betasäuren, Hopfenöl und Polyphenolen, die mehr oxidierbare Verbindungen enthielten. Daher war die Oxidationsrate bei diesen Proben höher.

Druckkurven von Hopfenaromen, 4 g, 60 °C, 20 h (Bild: Anton Paar).
HSI und Induktionszeit
Die Messung der verschiedenen Hopfenprodukte mit »RapidOxy 100« gab einen klaren Hinweis auf den Oxidationszustand der Probe. Zur Erstellung der Korrelation oder für die Definition eines Grenzwerts für ein Hopfenprodukt während der Produktion muss eine Anzahl von Hopfenproben sowohl mit der traditionellen fotometrischen Analyse als auch mit dem Messgerät gemessen werden.
Der Oxidationsstabilitätsprüfer »RapidOxy 100« von Anton Paar bietet somit eine einfache und schnelle Anwendung für die Qualitätskontrolle von Hopfenprodukten während der Lagerung oder vor der Produktion. Der Oxidationsgrad des Rohmaterials kann dabei vor Beginn der Bierherstellung einfach bestimmt werden. Im Vergleich zu fotometrischen Methoden ist keine Probenvorbereitung erforderlich.



